게임을 구성하는 가상 세계를 이해하기 위한 가장 첫 걸음은 집합(Set)이라는 개념이다.
의무교육에서 배운 집합은 서로 구분되는 원소(Element)로 구성된 묶음을 의미하는데 이러한 집합론을 소박한 집합론(Naive Set Theory)이라고 한다.
소박한 집합론
- 소박한 집합론의 관점에서는 용도에 따라 수집합을 정의하여 구분한다.
- 대표적인 수집합 : 자연수, 정수, 유리수, 실수, 복소수, 사원수 등이 있다.
- 각 수집합은 인간의 언어를 통해 대상 집합을 구분할 수 있게 정의하고, 각 집합마다 고유한 기호를 사용한다.
| 분류 | 정의 | 기호 |
| 자연수 | 물건을 세거나 순서를 지정하기 위해 사용하는 수의 집합 | N |
| 정수 | 자연수와 자연수의 음수 0을 포함하는 수의 집합 | Z |
| 유리수 | 분모가 0이 아닌 두 정수의 비율 혹은 분수로 나타낼 수 있는 수의 집합 | Q |
| 무리수 | 두 정수 비 혹은 분수로 나타낼 수 없는 수의 집합 | I |
| 실수 | 유리수와 무리수를 포함하는 수의 집합 | R |
| 복소수 | 실수와 제곱하면 -1이 되는 허수 단위 i를 조합해 a + bi(a, b는 실수) 형태로 표현하는 수의 집합 | C |
| 사원수 | 실수와 제곱하면 -1이 되는 세 허수 단위 i, j, k를 조합해 a + bi + cj + dk(a, b, c, d는 실수) 형태로 표현하는 수의 집합 | H |

소박한 집합론은 인간의 언어로 집합을 정의하기 때문에, 인간의 보편적인 관념에 의존할 수 밖에 없다.
자연수의 체계는 어떻게 구성되어 있고 집합의 특징이 무엇인지 분석하고 싶다면 물건을 센다는 개념부터 명확하게 정의해야 한다.
이러한 작업을 위해서는 집합의 성질을 참과 거짓으로 명확하게 구분해 줄 수 있는 명제가 필요하다.
명제 중에서 증명할 필요가 없는 기본 명제를 공리(Axiom)라고 하는데, 공리를 기반으로 대상을 구분하는 집합론을 공리적 집합론(Axiomatic set theory)이라고 한다.
공리적 집합론
- 수가 가지는 연산에 대한 공리를 기반으로 수를 분류한다.
연산과 수의 구조
- 수집합의 고유한 특징은 원소를 이용해 연산을 한다.
대표적인 연산 : 덧셈, 뺄셈, 곱셈, 나눗셈의 사칙연산이 있고, 이들은 두 개의 원소를 사용해 새로운 원소를 만들어내기 때문에, 이항연산(binary operation)이라고도 한다.

Binary Operation – Definition, Properties, Examples, & Diagrams
What is a binary operation and what are the binary operators. Learn how to solve them with their properties, examples and diagrams
mathmonks.com
- 같은 집합에 속한 두 수를 투입한 이항연산의 결과가 항상 투입한 집합에 속한다면, 그 집합에 대해 닫혀있다고 한다.
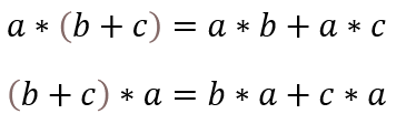
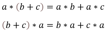
- 이항연산은 교환법칙(Commutative law), 결합법칙(Associative law), 분배법칙(Distributive law)이라는
3가지 성질을 지닌다.
교환법칙
임의의 두 수 a와 b를 연산할 때 순서에 관계없이 항상 동일한 결과가 나오는 성질을 말한다.

결합법칙
연산이 두 번 이상 연속될 때, 앞의 연산을 먼저 계산한 결과와 뒤의 연산을 계산한 결과가 같은 성질을 의미한다.

분배법칙
서로 다른 2가지 연산에 대해 다음의 규칙이 성립되는 것이다.

이 두가지 법칙을 만족하면 분배법칙을 만족한다고 한다.
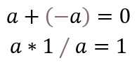
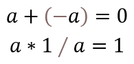
닫혀 있다는 개념과 세 가지 연산의 성질에 이어, 이항 연산이 가지는 특징은 항등원(Identity)과 역원(Inverse)이다.
항등원
임의의 수와 연산 결과를 항상 동일한 수로 만들어주는 특별한 수

실수 집합에서 덧셈의 항등원이란 미지수 a에 항등원을 더했을 때 결괏값이 a 그대로 나오는 수를 의미하므로, 덧셈의 항등원은 0이며, 실수 집합에서 곱셈의 항등원은 1이다.
역원
임의의 수와의 연산 결과를 항상 항등원으로 만들어주는 특별한 수
실수 집합에서 임의의 수의 덧셈과 곱셈의 역원을 살펴보면 이항 연산에 사용하는 임의의 수를 a로 지정했을 때, 결과가 항등원이 되는 덧셈과 곱셈의 역원은 아래와 같다.

항등원은 덧셈이나 곱셈에 대해 각각 0과 1로 고정되어있지만, 역원은 덧셈이나 곱셈에 주어지는 수에 따라 그 값이 달라진다.
이러한 역원은 연산에 따라 일정한 패턴을 보인다.
- 덧셈의 역원은 주어진 수에서 항상 부호가 반대인 수가 되므로 반대수(Opposite number)라고 부른다.
- 곱셈의 역원은 분자가 1이고 분모는 주어진 수가 되므로 역수(Reciprocal)라고도 일컫는다. 단, 0이 되는 분수는 존재하지 않으므로 0의 곱셈 역원은 없다.
이항연산의 성질
| 성질 | 정의 |
| 닫혀 있음 | 어떤 집합에서 두 원소를 사용한 이항연산의 결과가 항상 그 집합에 속하는 성질 |
| 교환법칙 | 두 원소의 좌우 순서를 바꿔도 결과가 동일한 성질 |
| 결합법칙 | 세 원소의 연산 순서를 바꿔도 결과가 동일한 성질 |
| 분배법칙 | 두 이항연산에 대해 a * (b + c) = a * b + a * c와 (b + c) * a = b * a + c * a의 결과가 나오는 성질 |
| 항등원 | 주어진 원소와의 이항연산 결과가 언제나 주어진 원소가 되는 특별한 원소. 실수에서 덧셈의 항등원은 0이고, 곱셈의 항등원은 1이다. |
| 역원 | 주어진 원소와의 이항연산 결과가 언제나 항등원이 되는 특별한 원소. 실수에서 덧셈의 역원은 반대수, 곱셈의 역원은 역수라고 부른다. |
수의 구조
어떤 연산에 대해 다음과 같은 성질을 만족하는 수 집합
- 연산에 대해 닫혀 있다.
- 연산에 대해 결합법칙이 성립한다.
- 연산에 대해 항등원이 존재한다.
- 연산에 대한 역원이 존재한다.
- 연산에 대해 교환법칙이 성립한다.
- 정수 집합 Z의 구조를 이와 같은 공리 체계에서 분석하면, 정수의 덧셈(+)은 위 공리를 모두 만족한다.
- 정수끼리 더한 결과는 항상 정수에 속하고, 결합법칙이 성립하면서 항등원 0과 임의의 수 a에 대한 역원 -a가
언제나 존재하기 때문이다. - 정수의 뺄셈(-)은 위 공리를 모두 만족하지 못한다.
- 뺄셈 법칙은 교환법칙이 성립하지 않기 때문이다.
연산을 하나 더 추가해, 두 개의 연산에 대한 공리를 확인한다.
6. 두 번째 연산에 대해 닫혀 있다.
7. 두 번째 연산에 대해 결합법칙이 성립한다.
8. 첫 번째 연산과 두 번째 연산에 대해 분배법칙이 성립한다.
9. 두 번째 연산에 대해 교환법칙이 성립한다.
10. 두 번째 연산에 대해 항등원이 존재한다.
11. 두 번째 연산에 대해 역원이 존재한다.(단 0은 제외).
- 정수 집합 Z에 곱셈 연산을 추가하고 이와 같은 공리를 만족하는가?
- 정수 집합은 곱셈에 닫혀 있고, 결합 법칙과 분배법칙이 성립하며 교환법칙도 성립한다.
- 하지만 정수 집합의 원소 a에 대한 곱셈의 역원은 1/a인데 이는 정수가 아니기 때문에 11번의 공리를 만족하지 못한다.
- 따라서 정수 집합의 덧셈과 곱셈은 이들 공리를 모두 만족하지 못한다.
덧셈과 곱셈 연산에 대해 11가지 공리를 모두 만족하는 수 집합은 어떤 것이 있는가?
- 덧셈에 대한 역원이 존재하지 않는 자연수(N)와 곱셈에 대한 역원이 존재하지 않는 정수(Z)는 이를 만족하지 못한다.
- 하지만 유리수(Q), 실수(R)는 곱셈의 역원이 존재하기 때문에 덧셈과 곱셈 두 연산에 대해 앞서 열거한 11가지 공리를
모두 만족한다. - 공리적 집합론에서 두 연산에 대해 1번부터 11번까지의 공리를 모두 만족하는 수 집합은 체(Field)의 구조를 지닌다고
표현한다. - 유리수(Q), 실수(R)와 같이 체의 구조를 가지는 수 집합은 특별한 예외 상황 없이 덧셈과 곱셈을 안전하고 자유롭게
사용할 수 있다.
체의 구조를 기반으로 체계를 확장해 공간의 구조를 생성하고 그 안에 콘텐츠를 담는 가상 세계를 구축할 수 있다.
사칙 연산을 구성하는 나머지 연산인 밸셈과 나눗셈은 체의 구조를 만족하는가?
- 뺄셈과 나눗셈은 교환법칙을 만족하지 않기 때문에 체의 구조를 지니지 못한다.

뺄셈과 나눗셈은 기본 연산이 아니라, 덧셈과 곱셈으로부터 파생된 연산이다.
실수 집합에서 덧셈의 역원은 반대수, 곱셈의 역원은 역수이다.
따라서 독립적인 구조로 체를 정의하는 연산이 아니다.
이로인해 뺄셈과 나눗셈을 자유롭게 사용하지 못하는가?
- 뺄셈 대신 덧셈의 역원을 사용하고 나눗셈 대신 곱셈의 역원을 사용하는 것으로 대체 표현할 수 있다.

실수 집합에서 덧셈의 역원은 반대수, 곱셈의 역원은 역수인데, 뺄셈과 나눗셈 대신 덧셈과 곱셈의 역원을 사용하면 교환법칙이 성립하면서 같은 결과를 만들어 낸다.

수 집합의 구조를 분석할 때는 덧셈과 곱셈의 두 가지 연산에 대해서만 살펴보는 것으로 충분하다.
정리
- 체(Field)**는 사칙연산이 자유롭게 시행될 수 있으며, 산술의 기본 규칙(교환법칙, 결합법칙, 분배법칙 등)을
모두 만족하는 수의 구조이다.
수의 표현
체의 구조를 만족하는 수집합은 유리수(Q), 실수(R)가 있지만, 이 중에서 실수(R)을 사용해 덧셈과 곱셈 연산을 시각화할 수 있다.
직선 상에 유리수(Q)의 원소를 모두 순서대로 나열하는 상황을 가정
- 유리수는 π나 √2같은 무리수를 표현할 수 업식 때문에 직선의 어느 지점에서 빈틈이 발생한다.
- 이러한 빈 틈을 무리수로 채워 완벽한 연속성을 가지는 직선을 만들어내는 수가 실수(R)이다.
- 이렇게 실수를 대응시켜 표현한 수직선(Number Line)이라 한다.

실수의 모든 요소는 상호 간에 크기를 비교할 수 있다. 더 큰 수는 오른쪽에 표시하는 규칙을 사용해 실수의 모든 원소는 수직선 상에 자신의 고유한 위치를 갖게 된다.

따라서 하나의 실수를 시각화 할 때는 그 수의 고유한 위치에 점을 찍어 표현한다.
체의 구조에서 살펴본 곱셈의 이항연산은 수직선 0을 기준으로 양수와 음수라는 두 개의 체계가 서로 대칭되어 있는 것으로 해석할 수 있다.

이러한 관점에서 하나의 수는 원점에서부터 크기와 방향을 가진 화살표로도 표현이 가능하다.
이와 같이 수가 지니는 방향의 속성은 부호를 사용해 나타내며 크기의 속성은 원점으로부터의 거리를 의미한다.
어떤 수의 원점으로부터 거리는 수직 막대(Vertical bar) 기호를 써서 나타내는데, 이를 절댓값(Absolute value)라고 한다.
- 시각적인 효과를 나타내기 위해 수와 연산을 사용한다.
- 물체에 힘을 가해 이동하거나, 크기를 늘리는 작업은 덧셈과 곱셈 연산으로 해석할 수 있다.
- 이항 연산에서 왼쪽 항의 수를 물체를 구성하는 점으로 보고, 오른쪽 항의 수를 점을 이동시키는 힘으로 보면, 덧셈 연산은 점을 평행 이동시키는 작업으로 해석할 수 있다.

- 곱셈 연산은 원점을 기준으로 점의 위치를 지정된 배율만큼 늘리고 대칭시키는 작업으로 해석할 수 있다.
- 왼쪽 항의 수가 가진 크기를 오른쪽 수가 가진 크기의 배율로 늘리거나 줄인 후 오른쪽 수의 부호가 양의 부호인 경우 원 방향을 유지하고, 음수인 경우 반대 방향으로 대칭시키는 작업이 곱셈 연산이다.

- 이항 연산을 시각적으로 의미 있게 표현하려 할 때, 수직선이라는 1차원적 무대에는 한계가 있다. 덧셈과 곱셈의 구조를 단순히 수직선 위에 놓으면, 양수와 음수의 대칭 관계나 크기 변화 정도만 보여줄 수 있을 뿐, 연산의 복합적 의미나 상호작용을 충분히 전달하기 어렵다.
- 따라서 연산을 2차원 평면으로 옮겨 표현하면 이해가 훨씬 직관적이며, 평면 위에서는 각 수를 좌표로 놓고, 덧셈과 곱셈을 벡터 이동이나 회전, 크기 변화 같은 시각적 효과로 나타낼 수 있다.
Reference
이득우의 게임 수학