가상 세계를 구축하는데 있어서 짚고 넘어갈 기본 개념은 함수다.
함수(Function)란 두 집합에서 첫 번째 집합의 모든 원소가 빠짐없이 두 번째의 집합의 어떤 원소에 대응하는 관계를 의미한다.
함수의 개념과 종류
- 두 집합을 X와 Y라는 기호로 지정하고, 집합 X의 원소를 x, 집합 Y의 원소를 y라 할 때 X에서 Y로 대응되는
함수를 y = f(x)로 나타낸다.

두 집합 요소가 서로 대응된다고 모두 함수로 인정받는 것은 아니며, 다음 두 규칙이 성립해야 한다.
- 첫 번째 집합의 모든 원소에 대한 대응 관계가 존재해야 한다.
- 첫 번째 집합의 원소는 두 번째 집합의 한 원소에만 대응되어야 한다.

집합 X의 원소 중 3과 4는 대응 관계가 없고 원소 2는 집합 Y의 두 원소(B, C)에 대응된다.
따라서 위 이미지는 두 집합의 대응 관계는 함수가 아니다.
왼쪽의 집합과 오른쪽의 집합이 갖야 하는 조건이 다르다 보니 함수에서 정의된 용어를 사용해 두 집합이 가진 대응 관계를 명확하게 전달하는 것을 권장한다.
- 함수에서 원쪽에 위치한 첫 번째 집합 : 정의역(Domain)
- 함수에서 오른쪽에 위치한 두 번째 집합 : 공역(Codomain)
함수 용어를 사용해 대응관계를 표현한다면, 정의역의 모든 원소는 공역의 원소에 대응되어야 한다.
하지만, 공역의 모든 원소가 정의역에 대응할 필요는 없다.
정의역에 대응되는 공역의 원소만 따로 모아 부분집합(Subset)을 형성할 수 있는데, 이를 치역(Range)이라 한다.

- 함수에 사용되는 정의역의 요소를 입력(input), 입력에 대응하는 공역의 요소를 출력(output)이라 한다.
- 정의역과 공역이 서로 대응되는 형태에 다라 함수를 여러 종류로 구분할 수 있다.
전사함수
- 전사함수(Surjection), 위로의 함수(Onto)라고도 부른다.
- 공역의 모든 요소가 정의역에 대응되는함수를 의미하며, 공역과 치역이 동일한 함수이다.


공역과 치역이 서로 다르므로 전사함수가 아니다.
단사함수
- 단사함수(Injection) 일대일 함수(One-to-one)이라고도 부른다.
- 정의역과 공역의 요소가 일대일로 대응되는 함수를 의미한다.

정의역의 모든 요소가 공역의 요소에 일대일로 대응되므로 단사 함수이다.

전단사함수
- 전단사 함수(Binjection, One-50One and Onto)는 정의역과 공역의 모든 요소가 빠짐없이
일대일로 대응되는 함수를 의미한다. - 전사함수와 단사함수의 두 가지 성질을 모두 만족하면 전단사함수라 할 수 있다.

합성함수
함수의 대응 관계를 확장해 다수 집합의 대응 관계로 발전시킬 수 있는데, 2개의 함수를 연쇄적으로 이어서 하나의 함수로 만드는 연산을 함수의 합성(Function composition)이라고 한다.

두 함수f(x)와 g(y)를 연쇄적으로 이어 합성함수를 만들면, 중간에 위치한 집합 Y를 생략하고 집합 X와 Z의 직접적인 대응 관계를 표현할 수 있다. 이러한 합성함수는 g ∘ f 혹은 g(f(x))로 표시한다.
먼저 실행되는 함수 f가 합성함수 기호(*)의 오른쪽에 놓인다는 것에 유의한다.
참고 : 합성함수는 g ∘ f는 g 써클 f로 부르는데, 대응 순서에 맞춰서 g 애프터 f라고도 부른다.


이 상황에서는 두 합성함수에 대한 경우의 수를 두 가지로 생각할 수 있다.


두 합성함수가 남은 함수와 다시 합성하는 경우 아래와 같이 전개된다.

위의 결과는 동일한 대응 관계를 가짐을 확인할 수 있다.
합성 함수를 이항 연산으로 규정하면, 합성 함수는 결합법칙이 성립한다.
항등함수와 역함수
- 수의 연산에서 다룬 항등원, 역원과 동일한 개념이 함수에도 존재한다.
- 정의역과 공역이 동일한 값으로 대응되는 함수를 항등함수(Identity function)라고 하며, 기호 id로 나타낸다.

항등함수는 연산의 항등원과 동일한 역할을 수행한다.
만일 합성함수를 사용해 함수에 연산의 개념을 도입하면 세 집합의 대응관계는 다음과 같다.


첫 번째를 수식으로 나타내면 id ∘ f = f이고 두 번째를 수식으로 나타내면 f ∘ id = f가 되는데 항등 함수는 어느 위치에 있든지 합성의 결과는 원 함수와 동일한 대응 관계를 나타낸다.
수의 역원 개념과 동일하게 합성함수의 대응 결과가 항등함수가 되는 경우

g(y)와 같은 함수를 역함수(inverse Function)라고 한다.
역함수는 위 첨자를 붙여 𝑓−1로 표기하며 어떤 함수와 역함수를 합성한 결과는 (g ∘ f)(x)와 같이 언제나 항등함수가 된다.
𝑓−1 ∘ 𝑓 = id
𝑓 ∘ 𝑓−1 = id
역함수는 두 집합의 대응 관계를 뒤집어 공역 Y에서 정의역 X로 대응하는 함수로도 생각할 수 있다.

역함수에서 주의할 점
- 모든 함수가 역함수를 갖지 않는다는 사실을 인지해야 한다.

- 전사함수는 하나의 원소가 두 개의 원소에 대응되기 때문에 함수의 기본 조건을 만족하지 못한다.
- 단사함수는 정의역의 모든 원소가 대응하지 않기 때문에 이들을 역함수는 함수의 조건을 만족하지 못한다.
- 하지만, 전단사함수의 경우 모든 경우에서 함수의 조건을 만족하기 때문에 역함수가 보장된다.
- 어떤 함수가 역함수를 가지기 위해서는 반드시 전단사함수의 형태가 되어야 한다.

합성함수에 역함수의 개념을 적용하면?
세 집합 X, Y, Z 대상으로 생성된 두 전단사함수 f, g를 확인한다. 이를 합성한 결과는 (g ∘ f)(x)가 된다.

합성함수 g ∘ f를 거꾸로 뒤집은 역함수(g ∘ 𝑓)−1는 아래와 같은 대응관계를 가진다.

두 함수의 역함수 𝑓−1과 g−1과 반대 순서로 합성한 결과로 볼 수 있다.

이러한 합성함수의 역함수가 가지는 성질은 다음과 같다.
(g ∘ 𝑓)−1 = 𝑓−1 ∘ g−1
곱집합을 활용한 좌표 평면으로의 확장
곱집합(Cartesian product(혹은 product set)이란 두 집합의 원소를 순서쌍으로 묶은 원소의 집합을 의미한다.
두 집합 A와 B가 있고 각 집합에 속한 원소를 a와 b라고 했을 때 집합 A와 b의 곱 집합은 다음과 같이 표현한다.
A X B
곱집합은 두 집합 A와 B의 요소를 서로 수직으로 배치해 묶는다.

곱집합의 요소는 각 집합의 원소 a와 b를 다음의 순서쌍으로 묶어 표현한다.
(a, b)
- 곱집합의 개념은 앞서 설명한 수의 이항연산 개념을 설명하는데 사용할 수 있다.
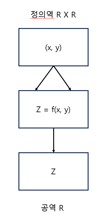
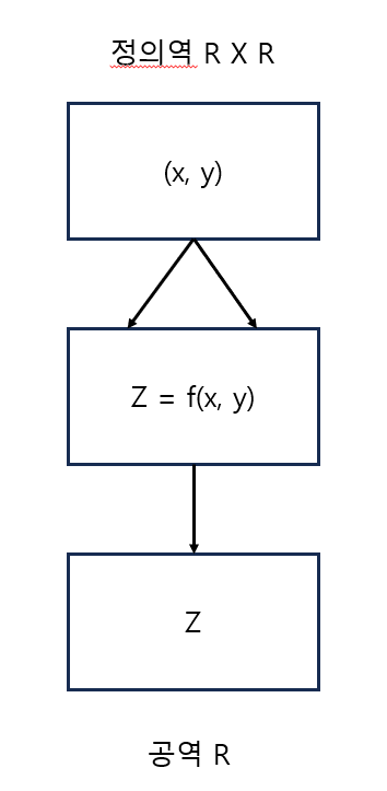
- 두 실수집합의 곱집합 R X R을 구성하고 정의역으로 설정해 요소를 2개로 지정하면,
수의 이항연산을 함수로 표현하는것이 가능해진다.

또한 두 집합을 서로 수직으로 배치하는 곱집합의 성질을 응용하면, 하나의 직선으로 표현한 실수 집합 R을 확장해 두 실수 집합의 곱집합 R X R을 아래와 같이 평면으로 나타낼 수 있다.

두 실수 집합의 곱집합으로 형성된 평면에 다시 실수 집합을 곱집합으로 설정하면 3차원 공간이 된다.
정리
- 덧셈과 곱셈 연산에 대한 11가지의 공리를 모두 만족하면 수 집합은 체의 구조를 가진다고 표현하는데, 이렇게 공리로부터 설계된 수의 구조는 수의 용도를 확장시켜 가상 세계를 구축하는데 기반이 된다.
- 또한 체의 구조라는 개념은 실수뿐만 아니라 복소수의 개념에도 적용되며, 이는 사원수를 이해하는 기반이 된다.
- 체의 구조를 만족하는 실수의 덧셈과 곱셈 연산은 수직선 위에서 시각적으로 표현되는 확인 가능하다.
Reference
이득우의 게임수학